枣庄市网站建设_网站建设公司_关键词排名_seo优化
2026/1/19 23:26:12 网站建设 项目流程

19.删除链表的倒数第n个节点

给你一个链表,删除链表的倒数第 n 个结点,并且返回链表的头结点。

示例 1:

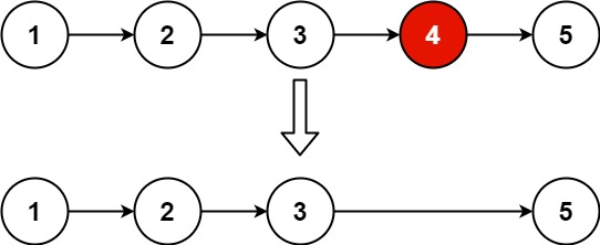
image-10

输入:head = [1,2,3,4,5], n = 2
输出:[1,2,3,5]

/*** Definition for singly-linked list.* struct ListNode {*     int val;*     ListNode *next;*     ListNode() : val(0), next(nullptr) {}*     ListNode(int x) : val(x), next(nullptr) {}*     ListNode(int x, ListNode *next) : val(x), next(next) {}* };*/
class Solution {
public:ListNode* removeNthFromEnd(ListNode* head, int n) {// 1. 计算正确的总长度int total = Totalsize(head);// 2. 特殊情况:如果要删除的是头节点 (倒数第 total 个)if (n == total) {ListNode* temp = head;head = head->next; // 移动头指针delete temp;       // 释放原头节点return head;}// 3. 想要删掉倒数第n个节点 <=> 删掉total-n-1 (无极端情况下通用)// 注意:total - n - 1 是 "被删除节点的前一个节点" 的下标// 例如长度 5,删倒数第 1 个(下标4),pos = 5-1-1 = 3。正确。// 例如长度 5,删倒数第 2 个(下标3),pos = 5-2-1 = 2。正确。deleteNode(head, total - n - 1);return head;}void deleteNode(ListNode* L, int pos) {ListNode* p = L;int i = 0;// 移动指针到目标位置的前一个节点// 增加 pos > 0 的判断防止越界while (i < pos && p != nullptr) {p = p->next;i++;}// 安全检查:防止链表结构异常导致空指针if (p == nullptr || p->next == nullptr) {return; }// 标准删除操作ListNode* q = p->next;p->next = q->next;delete q;}int Totalsize(ListNode* L){ListNode* p = L;int i = 0;//直接判断 p 是否为空while(p != nullptr){p = p->next;i++;}return i;}
};

需要专业的网站建设服务?

联系我们获取免费的网站建设咨询和方案报价,让我们帮助您实现业务目标

立即咨询