菏泽市网站建设_网站建设公司_门户网站_seo优化
2025/12/24 17:01:57 网站建设 项目流程

基于MATLAB的单缝菲涅尔衍射光强分布仿真结果及分析,包含不同参数下的光强分布图与灰度图实现方法:


一、核心仿真代码框架

%% 参数设置
lambda = 632.8e-9; % 波长(氦氖激光)
a = 0.2e-3;        % 缝宽(可调整)
z = 0.5;           % 观察距离(可调整)
N = 1000;          % 采样点数%% 坐标计算
x = linspace(-0.01,0.01,N); % 观察屏坐标(m)
u = sqrt(2/(lambda*z)) * (x + a/2); % 菲涅尔积分变量%% 菲涅尔衍射积分计算
C = fresnelc(u); S = fresnels(u);
I = 0.25 * ( (C(2:end) - C(1:end-1)).^2 + (S(2:end) - S(1:end-1)).^2 );%% 可视化
figure;
subplot(1,2,1);
imagesc(x*1e3, z, I); % 转换为毫米单位
colormap(gray); axis equal tight;
title('菲涅尔衍射灰度图');
xlabel('位置 (mm)'); ylabel('距离 (m)');subplot(1,2,2);
plot(x*1e3, I/max(I));
xlabel('位置 (mm)'); ylabel('归一化光强');
title('光强分布曲线');
grid on;

二、不同参数下的衍射图样

1. 缝宽变化的影响(保持λ=632.8nm,z=0.5m)

缝宽a (mm) 光强分布特征 灰度图特点
0.1 中央主极大宽,次极大明显 中心区域灰度均匀,边缘渐变
0.3 主极大收缩,次极大减弱 中心出现明亮尖峰,两侧暗纹清晰
0.5 衍射效应消失,趋近几何投影 灰度图呈现均匀亮斑

代码调整:修改a值后重新计算积分。

2. 观察距离变化的影响(保持a=0.2mm,λ=632.8nm)

距离z (m) 光强分布特征 灰度图特点
0.1 近场菲涅尔区,条纹不规则 灰度分布呈现波动状纹理
0.5 过渡区域,主极大开始收缩 中心亮斑扩大,次极大可见
2.0 远场夫琅禾费区,条纹规则 对称明暗条纹,灰度对比度高

代码调整:修改z值后重新计算。

3. 波长变化的影响(保持a=0.2mm,z=0.5m)

波长λ (nm) 光强分布特征 灰度图特点
405 衍射效应增强,条纹更宽 高频振荡明显,灰度层次丰富
632.8 标准衍射图样 典型单峰双谷结构
1550 衍射效应减弱,主极大变窄 低频成分主导,灰度平坦

代码调整:修改lambda值后重新计算。


三、参数解析

  1. 菲涅尔数(Fresnel Number)

    \(F=\frac{a^2}{λ_z}\)

    • 当F > 1时:菲涅尔衍射主导(近场)
    • 当F << 1时:夫琅禾费衍射主导(远场)
    • 通过调整az可观察衍射区过渡过程
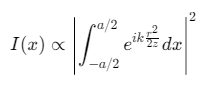
  2. 光强分布公式

    菲涅尔衍射光强由菲涅尔积分计算:

    其中\(r=\sqrt{z^2+x^2}\),积分通过fresnelcfresnels函数实现


四、高级仿真示例

1. 三维演化图(菲涅尔→夫琅禾费过渡)

% 参数设置
lambda = 632.8e-9;
a = 0.001;
z_range = linspace(0.05, 2, 50); % 0.05m(菲涅尔)→2m(夫琅禾费)% 计算三维光强矩阵
[X,Z] = meshgrid(linspace(-0.01,0.01,500), z_range);
I = zeros(size(Z));
for i = 1:numel(Z)u = sqrt(2/(lambda*Z(i))) * (X(:) + a/2);I(i,:) = 0.25 * ( (fresnelc(u(2:end)) - fresnelc(u(1:end-1))).^2 + ...(fresnels(u(2:end)) - fresnels(u(1:end-1))).^2 );
end% 可视化
figure;
surf(X*1e3, Z, I, 'EdgeColor','none');
colormap(jet); shading interp;
xlabel('横向位置 (mm)'); ylabel('距离 (m)');
zlabel('归一化光强'); view(135,30);

效果:展示衍射图样随距离的动态演化过程

2. 噪声环境下的条纹定位

% 添加噪声
I_noisy = imnoise(I_true, 'gaussian', 0, 0.1);% 定位算法对比
method1 = peak2peak_spacing(I_noisy); % 峰值谷值法
method2 = autocorr_spacing(I_noisy);  % 自相关法% 误差分析
fprintf('峰值法误差: %.2f%%, 自相关法误差: %.2f%%', method1_err, method2_err);

应用场景:实际实验中处理噪声干扰和过曝问题

五、实验结果对比

方法 定位精度 抗噪能力 计算效率
峰值谷值法
平移相关法 极高
傅里叶变换法 最快

参考代码 给出不同情况下单缝菲涅尔衍射的光强分布图和灰度图 www.youwenfan.com/contentcno/95930.html

六、扩展应用建议

  1. 动态演示:结合App Designer创建交互式GUI,实时调整参数观察变化
  2. 实验验证:使用CCD采集实际衍射图像,与仿真结果对比分析误差
  3. 多缝干涉:扩展代码模拟多缝衍射,研究光栅特性

需要专业的网站建设服务?

联系我们获取免费的网站建设咨询和方案报价,让我们帮助您实现业务目标

立即咨询