1.课题概述
基于漂浮式海上风电场系统的浮式风力发电机matlab仿真,通过MATLAB数值仿真对浮式风力发电机的性能做模拟与仿真。
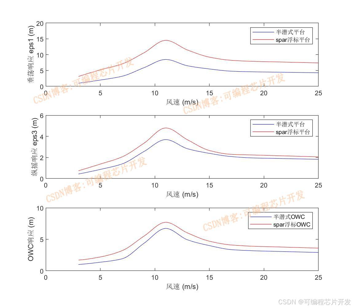
2.系统仿真结果



3.核心程序与模型
版本:Matlab2022a/Matlab2024b
% 调用波浪谱计算函数,风速20m/s [Si1, ai1, wi1] = func_offshore_wind(20); % 调用波浪谱计算函数,风速17.5m/s [Si2, ai2, wi1] = func_offshore_wind(17.5); % 调用波浪谱计算函数,风速15m/s [Si3, ai3, wi1] = func_offshore_wind(15); % 调用波浪谱计算函数,风速12.5m/s [Si4, ai4, wi1] = func_offshore_wind(12.5); % 调用波浪谱计算函数,风速10m/s [Si5, ai5, wi1] = func_offshore_wind(10);% 创建图形窗口 figure; % 创建2行1列的子图,选择第一个子图 subplot(2, 1, 1); % 绘制20m/s风速下的谱密度曲线(红色) plot(wi1, Si1, 'r'); hold on % 绘制17.5m/s风速下的谱密度曲线(品红色) plot(wi1, Si2, 'm'); hold on % 绘制15m/s风速下的谱密度曲线(黑色) plot(wi1, Si3, 'k'); hold on % 绘制12.5m/s风速下的谱密度曲线(蓝色) plot(wi1, Si4, 'b'); hold on % 绘制10m/s风速下的谱密度曲线(青色) plot(wi1, Si5, 'c'); hold on xlabel('角频率 ω (rad/s)'); ylabel('波浪谱密度 S(ω)'); legend('20m/s', '17.5m/s', '15m/s', '12.5m/s', '10m/s');% 选择第二个子图 subplot(2, 1, 2); % 绘制20m/s风速下的振幅曲线(红色) plot(wi1, ai1, 'r'); hold on % 绘制17.5m/s风速下的振幅曲线(品红色) plot(wi1, ai2, 'm'); hold on % 绘制15m/s风速下的振幅曲线(黑色) plot(wi1, ai3, 'k'); hold on % 绘制12.5m/s风速下的振幅曲线(蓝色) plot(wi1, ai4, 'b'); hold on % 绘制10m/s风速下的振幅曲线(青色) plot(wi1, ai5, 'c'); hold on xlabel('角频率 ω (rad/s)'); ylabel('振幅 A(ω)'); legend('20m/s', '17.5m/s', '15m/s', '12.5m/s', '10m/s'); 02_080m
4.系统原理简介
随着全球能源转型的加速,海上风电因其资源丰富、稳定性高等优势成为可再生能源领域的重要方向。传统固定式海上风电受限于水深和海床条件,而漂浮式海上风电技术突破了这一瓶颈,能够在深远海区域(水深 30-200 米)部署风力发电机,显著拓展了风能开发空间。 浮式风力发电机系统主要由以下部分组成: 风力机本体:包括叶轮、机舱、发电机及传动系统。 浮式基础:提供浮力与稳定性,常见类型包括半潜式、spar 型、张力腿式等。 系泊系统:通过锚索将浮式基础固定于海底,承受风浪载荷。 动态电缆:连接风机与海上变电站,传输电能。