保山市网站建设_网站建设公司_jQuery_seo优化
2025/12/23 13:21:19 网站建设 项目流程

📚 使用须知

  • 本博客内容仅供学习参考
  • 建议理解思路后独立实现
  • 欢迎交流讨论

task : 基于高斯过程回归的微波光子滤波性能提升的解调系统

引言

该研究引入强大的机器学习工具高斯过程回归( Gaussian process regression,GPR )对微波光子滤波解调进行升级,提高了解调速度和精度。在基于光纤布拉格光栅(FBG)的微波光子滤波应变传感解调系统中,GPR被用来学习微波光子滤波器的频率响应与FBG上施加的应变之间的关系。

image

与传统的检测方法相比,所提方法在稀疏采样的频率响应下能够获得更好的测量精度,同时询问速度也得到了极大的提高。 更重要的是,训练好的GPR模型对于陷波深度波动较大的滤波器频率响应仍然有效,大大提高了对器件参数偏差和环境变化的容差。

系统结构与工作原理

其核心原理是构建一个双FBG的两抽头陷波MPF

image

image

VNA采集到频率响应数据后,引入了一个高斯过程回归(GPR)机器学习模型。

image

GPR是一种贝叶斯概率模型,它不对函数形式做具体假设,而是直接在函数空间上定义先验分布。

输入:不再是单个陷波频率,而是整条频率响应曲线;输出:对应的应变值。

实验验证与性能分析

image

图3:展示了在不同应变(0-98 µε)下,MPF系统的频率响应(S21参数)曲线。

应变增加 → 波长差增大 → 时延差变化 → 陷波频率移动。

image

图4(a):固定分辨率下,调整陷波深度(从18dB-33dB)。陷波越浅,其底部越平坦,频率定位越模糊。

图4(b):固定陷波深度下,改变VNA采样分辨率(从1MHz-10MHz)。分辨率越低,采样点越稀疏,不仅陷波定位不准,连频谱形状都严重失真。

image

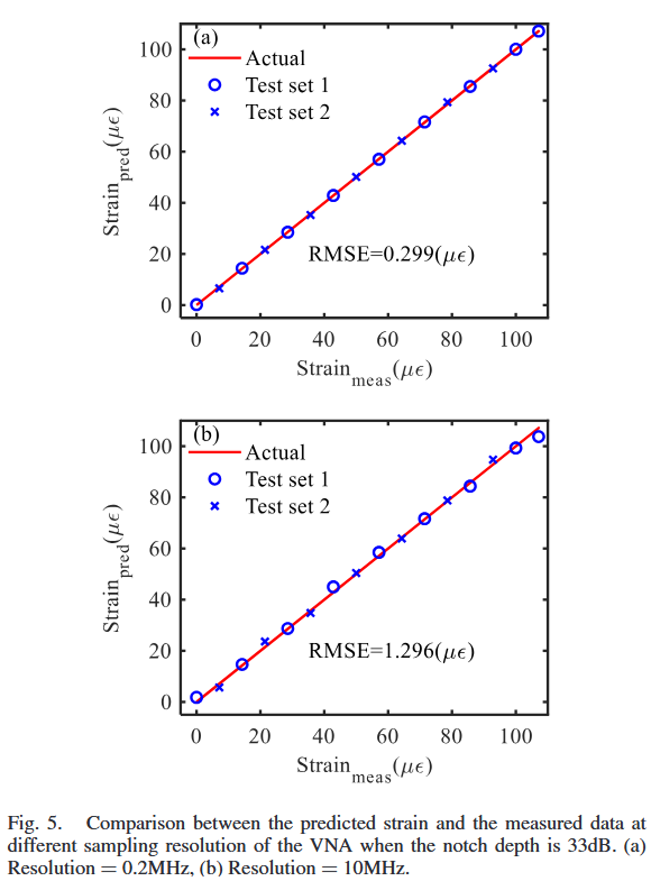
图5:对比在高分辨率(0.2MHz) 和低分辨率(10MHz) 下,GPR模型预测应变与实际应变的散点图。

图5(a)高分辨率:预测点紧密分布在参考线两侧,RMSE极低(0.299 µε),说明模型本身能力强大。

图5(b)低分辨率:尽管分辨率恶化了50倍,采样点变得非常稀疏,但GPR预测点依然高度贴合参考线,RMSE仅升至1.296 µε。相比之下,文中提到传统方法在此分辨率下误差已超4.8 µε

image

表一系统地评估了在不同矢量网络分析仪(VNA)采样分辨率下,GPR辅助系统的完整性能指标。

image

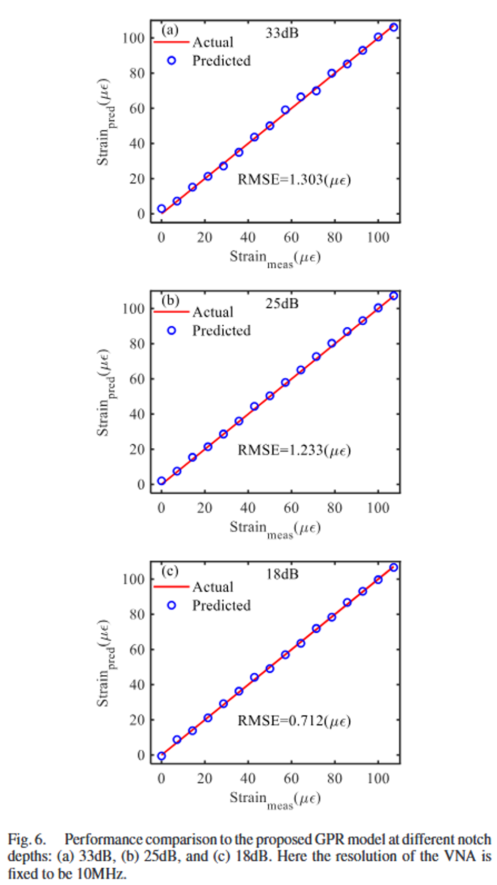
图6:展示了在33dB, 25dB, 18dB三种不同陷波深度下,GPR模型预测应变的散点图。模型仅用18dB33dB的数据训练。

在训练过的33dB18dB深度下,预测精准(RMSE分别为1.3030.712 µε)。最关键的是在未训练过的25dB深度下,预测同样精准(RMSE1.233 µε)。

image

图7:将同一条件下(固定应变)连续10次扫描得到的频谱片段(聚焦于一个陷波)叠加显示。陷波的深度和形状在每次扫描中都会自然波动。

image

需要专业的网站建设服务?

联系我们获取免费的网站建设咨询和方案报价,让我们帮助您实现业务目标

立即咨询